NLP
[weekly-NLP]5
오늘의 유경
2022. 5. 11. 13:14
google Assistant NLP팀의 computational linguist이신 박지호님의 위클리 NLP(week 5)를 읽고 정리한 내용이다.
jiho-ml
구글 컴퓨터 언어학자가 쓰는 머신 러닝, 자연어 처리 (NLP), 딥러닝 (deep learning) 블로그
jiho-ml.com
용어 정리
더보기
tensorflow : data흐름 프로그래밍을 위한 오픈소스 SW 라이브러리
자연어 처리 Natural Language Processing (NLP)
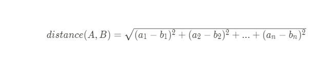
(week5)//Eucliedian distance, Cosine similarity, Cosine distance
Eucliedian Distance : 두개의 vector사이의 거리를 계산한다.

Cosine similarity : 두개의 vector사이의 각을 계산한다.
NLP에서 vector를 단어의 빈도로 계산하는 경우가 많아 주로 사용되는 방식으로 크기(magnitude)를 무시하고 방향의 차이만 계산한다.

Vector A 와 Vector B는 Cosine similarity에서 아래의 값을 갖는다.

더불어 Cosine distance는 vector간의 유사성 계산을 위해 사용되는데,
Cosine distance= 1- Cosine similarity이므로 아래의 값을 갖는다.
